【药品名称】
通用名称:阿奇霉素片
商品名称:舒美特® SUMAMED®
英文名称:Azithromycin Tablets
汉语拼音:Aqimeisu Pian
【成份】
阿奇霉素
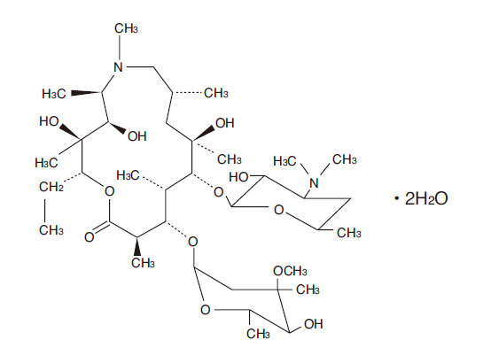
化学名称:(2R,3S,4R,5R,8R,10R,11R,12S,13S,14R)-13-[(2,6-二脱氧-3-C-甲基-3-O-甲基-α-L-核-己吡喃糖基) 氧]-2-乙基-3,4,10-三羟基-3,5,6,8,10,12,14-七甲基-11-[[3,4,6-三脱氧-3-(二甲氨基)-β-D-木-己吡喃糖基]氧]-1-氧杂-6-氮杂环十五烷-15酮。
化学结构式:

分子式:C38H72N2O12•2H2O
分子量:785.03
【性状】
500mg:本品为淡蓝色、椭圆形、双面凸的薄膜包衣片,一面刻有PLIVA字样,另一面刻有500字样。除去包衣后显白色或类白色。
125mg:本品为淡蓝色、圆形、双面凸的薄膜包衣片,一面刻有PLIVA字样,另一面刻有125字样。除去包衣后显白色或类白色。