【药品名称】
通用名称:阿奇霉素干混悬剂
商品名称:舒美特® SUMAMED®
英文名称:Azithromycin For Suspension
汉语拼音:Aqimeisu Ganhunxuanji
【成份】
本品主要成份为阿奇霉素
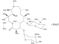
化学名称:(2R,3S,4R,5R,8R,10R,11R,12S,13S,14R)-13-[(2,6-二脱氧-3-C-甲基-3-O-甲基-α-L-核-己吡喃糖基)氧]-2-乙基-3,4,10-三羟基-3,5,6,8,10,12,14-七甲基-11-[[3,4,6-三脱氧-3-(二甲氨基)-β-D-木-己吡喃糖基]氧]-1-氧杂-6-氮杂环十五烷-15酮。
化学结构式:

分子式:C38H72N2O12·2H2O
分子量:785.03
【性状】
本品为白色至淡黄色的粉末。